본문 바로 가기
로그인/회원가입 하기
통합검색
수강중 강좌
장바구니
이용문의
학습Q&A
강좌찾기
패키지
전체 강좌
교수소개
공학계열
자연계열
수학계열
간호계열
상경계열
기초·공통
커뮤니티
수강후기
학습 Q&A
대학생활 꿀팁
장학제도 프로그램
이벤트
이벤트존
쿠폰갤러리
학습지원센터
공지사항
이용문의
환불요청
FAQ
마이페이지
수강중인 강좌
수강대기 강좌
수강종료 강좌
구독 중인 AI
구독 종료된 AI
결제정보
내 지갑
개인정보
수학계열 임계수 교수님
답변완료
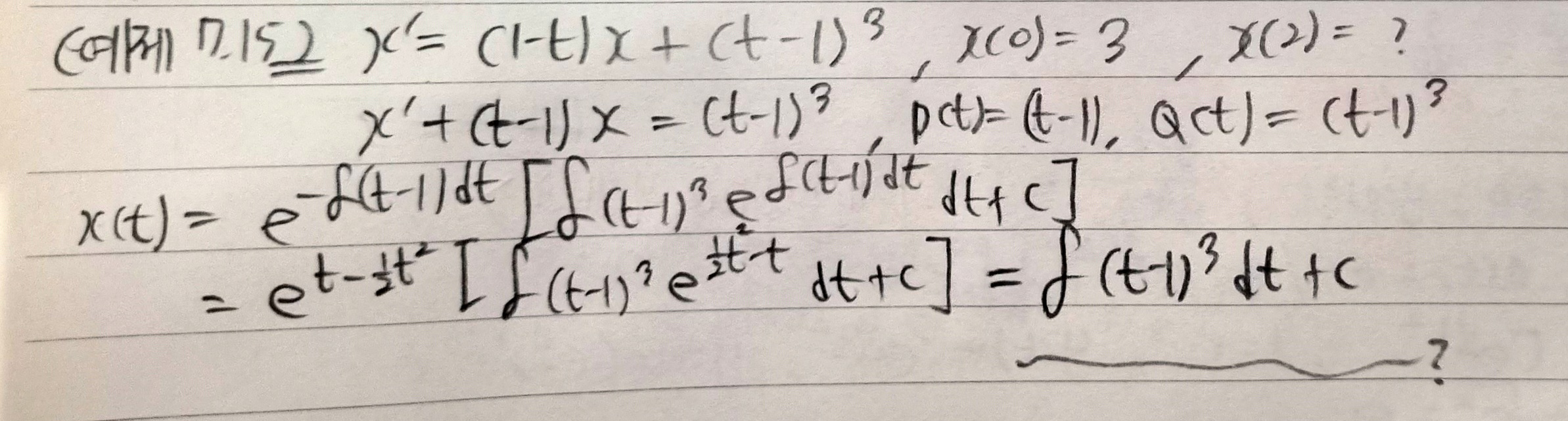
공학수학 / p34 / 예제 7.15
작성자 이*호 (l********1)
작성일 2025-12-10
과목 공학수학
질문유형
기타
강좌
[공학수학] 공학수학1 : 상미분방정식과 라플라스변환
첨부파일
20251210_131026.jpg
적분기호 안에있는 식과 바깥에 있는 식을 나누어서 계산했는데, 이렇게 해도 되는건지 모르겠습니다. 답은 잘 나오는거 보니 될 것 같지만, 우연일 수도 있어서 이게 맞는 풀이인지 확인받고 싶습니다.
※ 답변 완료된 질문과 답변은 수정 및 삭제가 불가합니다.
댓글
총
0
건
관*자
안녕하세요.
유니스터디 임계수입니다.
질문에 대한 답변입니다.
2025-12-10
답변완료
목록